Για παράδειγμα, για εισοδήματα 15.000 ευρώ η αύξηση σε ετήσια βάση θα είναι 61 ευρώ, την ώρα που, σύμφωνα με τον κ. Τσακαλώτο, οι θεσμοί ζητούσαν 240.
- Από 0-20.000 ευρώ, φορολογικός συντελεστής 22%
- Από 20.001-30.000 ευρώ, φορολογικός συντελεστής 29%
- Από 30.001-40.000 ευρώ, φορολογικός συντελεστής 37%
- Ανω των 40.000 ευρώ, φορολογικός συντελεστής 45%
- 0% για εισόδημα έως 12.000
- 2,2% για εισόδημα από 12.001 έως 20.000 ευρώ
- 5% από 20.001 έως 30.000 ευρώ
- 6,5% από 30.001-40.000 ευρώ
- 7,5% από 40.001 έως και 65.000 ευρώ
- 9% από 65.001 έως και 220.000 ευρώ
- 10% από 220.001 ευρώ και πάνω
Αναλυτικά τι θα ισχύει για μισθωτούς – συνταξιούχους και ελεύθερους επαγγελματίες, μετά τις παραπάνω αλλαγές στο φορολογικό:
(Πίνακες: euro2day.gr)
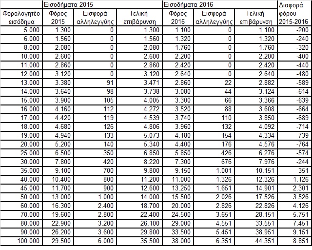
Μισθωτοί- Συνταξιούχοι:

Ελεύθεροι επαγγελματίες:

Όσον αφορά τον ΦΠΑ, σύμφωνα με ρεπορτάζ της Καθημερινής, η κυβέρνηση αποφάσισε την αύξηση στον υψυλό συντελεστή από το 23% στο 24% από την 1η Ιουλίου 2016. Σύμφωνα πάντα με το δημοσίευμα, ο στόχος είναι τριπλός. Πρώτον να κλείσει μεγάλο μέρος του δημοσιονομικού κενού ύψους 1% του ΑΕΠ για τη διετία 2017-2018, δεύτερον να καλυφθεί το κενό που είχε αφήσει η εξαίρεση των ιδιωτικών σχολείων από τον ΦΠΑ και τρίτον να αποφευχθεί η αύξηση των συντελεστών ΦΠΑ σε ΔΕΗ και ΕΥΔΑΠ.
Σε περίπτωση που το μέτρο οριστικοποιηθεί, θα αυξηθούν οι τιμές σε:
- Τυποποιημένα είδη διατροφής (μακαρόνια, ρύζι, αλεύρι, καφές, κακάο, αλλαντικά, μαρμελάδες, σοκολάτες, παγωτά, είδη ζαχαροπλαστικής, μπαχαρικά, προψημένο ψωμί, προμαγειρεμένα φαγητά, ψωμί του τοστ, φρυγανιές κ.ά.)
- Αναψυκτικά – χυμοί
- Εστίαση (ταβέρνες εστιατόρια) – catering
- Εισιτήρια μέσων μαζικής μεταφοράς (λεωφορεία, αεροπλάνα, πλοία κ.ά.) και κόμιστρα ταξί
- Υπηρεσίες από συγγραφείς, καλλιτέχνες, συνθέτες
- Επισκευή και συντήρηση παλαιών κατοικιών
- Ανθη – φυτά
- Αποχέτευση
- Ζωοτροφές